1С:Предприятие 8.2 /
Управление торговлей для Украины /
Анализ деятельности предприятия
Показатели для анализа оборачиваемости
Для анализа оборачиваемости активов в конфигурации Управление торговлей для Украины, редакции 3 предназначены следующие поставляемые целевые показатели:
- Сумма оборотных активов – показывает общую сумму активов торгового предприятия, используемых им в повседневной деятельности;
- Сумма дебиторской задолженности – показывает общую сумму задолженности клиентов перед предприятием;
- Срок оборота дебиторской задолженности – показывает среднее количество дней, в течение которых клиенты оплачивают свою задолженность.
Сокращение срока оборота дебиторской задолженности является положительной тенденцией; - Просроченная дебиторская задолженность – показывает общую сумму задолженности, неоплаченную клиентами вовремя;
- Себестоимость остатков товарных запасов – показывает общую себестоимость имеющихся остатков товарных запасо в. Товары, принятые на комиссию не учитываются;
- Срок оборачиваемости товарных запасов – показывает среднее количество дней, в течение которых товары находятся на складах предприятия. Иными словами средний срок, в течение которого денежные средства предприятия «заморожены» в товарах.
Сокращение срока оборачиваемости товарных запасов является положительной тенденцией; - Сумма остатков денежных средств – показывает общий остаток разных видов денежных средств;
- Длительность (период) финансового цикла или цикл оборота денежных средств – показывает в течение какого срока денежные средства отвлечены из оборота.
Сокращение финансового цикла является положительной тенденцией.
Финансовый цикл можно сократить как за счет сокращения операционного цикла (сроки оборота дебиторской задолженности и товарных запасов), так и за счет некритичного увеличения срока оборота кредиторской задолженности.
Показатель срока оборота кредиторской задолженности рассматривается в кон тексте расчета финансового цикла.
Для расчета показателей применяются форму лы, приведенные ниже.
- Сумма оборотных активов
![Сумма оборотных актиеое = Сумма дебиторской задолженности Л-Себестоимость остатков товарных запасов + Сумма остатков денежных средств]()
- Сумма дебиторской задолженности рассчитывается по данным регистра учета расчетов с клиентами
![Сумма дебиторской задолженности = Остатки распетое с партнерами - Остатки расчетов с нашими предприятиями]()
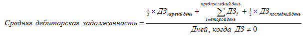
- Срок оборота дебиторской задолженности в днях вычисляется по формуле
![Дней е периоде расчетах Средняя дебиторская задолженность Выручка за период]()
, где![предпгхле ий день Т Х переьгйдень + 2 + ТХ последний день ~ г . :-еторойдень Средняя деоиторская задолженность = Дней. когда ЦЗ О]()
- Просроченная дебиторская задолженность рассчитывается с учетом даты платежа, указанной в документах расчетов. Условие для расчета – дата платежа лежит ранее даты расчета значения показателя.
- Себестоимость остатков товарных запасов рассчитывается по данным регистра учета себестоимости на дату расчета показателя
![Себестоимость остатков товарных запасов = Товары на скчадах + Товары. переданные на комиссию]()
- Срок оборачиваемости товарных запасов в днях рассчитывается по формуле
![Дней е периоде расчетах Средняя себестоимость остатков Себестоимость реализованных тоеарое за период]()
, где![Средняя себестоимость остатков пред юсле ий день х Себестоимостъкереыйдень + Себестоимость. +1 х СебестоимостьпоС}идт.йдень г-второйдекь Дней. когда Себестоимость остатков О]()
- Сумма остатков денежных средств рассчитывается по данным регистров учета различных видов денежных средств
![Сумма остатков ДС = Начичные денежные средства + Безнатчные денежные средства + Денежные средства в кассах ККМ + Денежные средства у подотчетных лиц]()
- Длительность финансового цикла в днях рассчитывается по формуле
![Длительность финансового цикла = С0} + СО - С0Ю]()
, где![Дней е периоде расчетах Средняя кредиторская задолженность Себестоимость реализованных товаров за период]()
, где
– срок оборота кредиторской задолженности и![KpedKX.-eaiLU денъ Т Х пврвый день + 1 Х последний день V V V :-s udf.4b Средняя кредиторская задолженность = Дней, когда КЗ О]()
СОВЕТ
Применение различных отборов с помощью вариантов анализа позволяет вычислять оборачиваемость активов и кредиторской задолженности для различных организаций предприятия.
Оборачиваемость товарных запасов может быть вычислена для отдельных складов, видов запасов и отдельных номенклатурн ых позиций.
Индивидуальное обучение 1С
Курс "Бухгалтерский учет + 1С:Бухгалтерия 8.2 для начинающих"
Индивидуальный курс «1С:Бухгалтерия 8.2»
Другие материалы по теме:
оборачиваемость, 47, количество дней, дебиторская задолженность, платеж, оборот, рассчитывается, денежные средства, срок, управление торговлей для украины, средства, клиент, задолженность, регистр., анализ, себестоимость, количество, товары, управление, счета, сумма, регистр, расчет, конфигурации, учет, счет
Материалы из раздела: 1С:Предприятие 8.2 / Управление торговлей для Украины / Анализ деятельности предприятия
Другие материалы по теме:
Общие механизмы товарных документов
Источники данных для расчетов бюджетирования
Учет безналичных денежных средств. Поступление денежных средств
Нас находят: stimul, коэффициент оборачиваемости кредиторской задолженности украинаа, оборачиваемость кредиторской задолженности украина, ут для украины кредиторская задолженность, финансовый цикл рассчитывается как сумма, Финансовый анализ оборот кредиторская дебиторская задолженности товарные запасы, сокращение срока оборачиваемости склада, оборот денежных средств в украине, оборачиваемость для разных видов складов, ow ly

Мы на Facebook






